Problem 8.3.9d
Testing the Difference Between Two Means (d) find the standardized test statistic t, Assume the samples are random and dependent, and the populations are normally distributed.
[APPLET] Migraines
A researcher claims that injections of onabotulinumtoxinA reduce the number of days per month that chronic migraine sufferers have headaches. The table shows the number of days chronic migraine sufferers suffered migraines before and after using the treatment. At , α= 0.01 is there enough evidence to support the researcher’s claim? (Adapted from Journal of Headache and Pain)
Problem 8.3.9e
Testing the Difference Between Two Means (e) decide whether to reject or fail to reject the null hypothesis, Assume the samples are random and dependent, and the populations are normally distributed.
[APPLET] Migraines
A researcher claims that injections of onabotulinumtoxinA reduce the number of days per month that chronic migraine sufferers have headaches. The table shows the number of days chronic migraine sufferers suffered migraines before and after using the treatment. At , α= 0.01 is there enough evidence to support the researcher’s claim? (Adapted from Journal of Headache and Pain)
Problem 8.3.9f
Testing the Difference Between Two Means (f ) interpret the decision in the context of the original claim. Assume the samples are random and dependent, and the populations are normally distributed.
[APPLET] Migraines
A researcher claims that injections of onabotulinumtoxinA reduce the number of days per month that chronic migraine sufferers have headaches. The table shows the number of days chronic migraine sufferers suffered migraines before and after using the treatment. At , α= 0.01 is there enough evidence to support the researcher’s claim? (Adapted from Journal of Headache and Pain)
Problem 8.3.12a
Testing the Difference Between Two Means (a) identify the claim and state Ho and Ha ,Assume the samples are random and dependent, and the populations are normally distributed.
Interval Training
A researcher claims that sprint interval training improves running performance in trained athletes. The table shows the maximum aerobic speed (MAS), in kilometers per hour, of trained athletes before and after six sessions of sprint interval training. At , α=0.10 is there enough evidence to support the researcher’s claim? (Adapted from National Strength and Conditioning Association)
Problem 8.3.12b
Testing the Difference Between Two Means (b) find the critical value(s) and identify the rejection region(s), Assume the samples are random and dependent, and the populations are normally distributed.
Interval Training
A researcher claims that sprint interval training improves running performance in trained athletes. The table shows the maximum aerobic speed (MAS), in kilometers per hour, of trained athletes before and after six sessions of sprint interval training. At , α=0.10 is there enough evidence to support the researcher’s claim? (Adapted from National Strength and Conditioning Association)
Problem 8.3.12c
Testing the Difference Between Two Means (c) calculate d̄ and Sd, Assume the samples are random and dependent, and the populations are normally distributed.
Interval Training
A researcher claims that sprint interval training improves running performance in trained athletes. The table shows the maximum aerobic speed (MAS), in kilometers per hour, of trained athletes before and after six sessions of sprint interval training. At , α=0.10 is there enough evidence to support the researcher’s claim? (Adapted from National Strength and Conditioning Association)
Problem 8.3.12d
Testing the Difference Between Two Means (d) find the standardized test statistic t, Assume the samples are random and dependent, and the populations are normally distributed.
Interval Training
A researcher claims that sprint interval training improves running performance in trained athletes. The table shows the maximum aerobic speed (MAS), in kilometers per hour, of trained athletes before and after six sessions of sprint interval training. At , α=0.10 is there enough evidence to support the researcher’s claim? (Adapted from National Strength and Conditioning Association)
Problem 8.3.12e
Testing the Difference Between Two Means (e) decide whether to reject or fail to reject the null hypothesis, Assume the samples are random and dependent, and the populations are normally distributed.
Interval Training
A researcher claims that sprint interval training improves running performance in trained athletes. The table shows the maximum aerobic speed (MAS), in kilometers per hour, of trained athletes before and after six sessions of sprint interval training. At , α=0.10 is there enough evidence to support the researcher’s claim? (Adapted from National Strength and Conditioning Association)
Problem 8.3.12f
Testing the Difference Between Two Means (f ) interpret the decision in the context of the original claim. Assume the samples are random and dependent, and the populations are normally distributed.
Interval Training
A researcher claims that sprint interval training improves running performance in trained athletes. The table shows the maximum aerobic speed (MAS), in kilometers per hour, of trained athletes before and after six sessions of sprint interval training. At , α=0.10 is there enough evidence to support the researcher’s claim? (Adapted from National Strength and Conditioning Association)
Problem 8.3.8
Test the claim about the mean of the differences for a population of paired data at the level of significance α. Assume the samples are random and dependent, and the populations are normally distributed.
Claim: μd≠0 , α=0.10, Sample statistics: d̄ =-1, sd=2.75, n=20
Problem 8.3.18a
Testing the Difference Between Two Means (a) identify the claim and state Ho and Ha .Assume the samples are random and dependent, and the populations are normally distributed.
[APPLET] Passing Play Percentages The passing play percentages of 10 randomly selected NCAA Division 1A college football teams for home and away games in the 2020–2021 season are shown in the table. At , α=0.20 is there enough evidence to support the claim that passing play percentage is different for home and away games? (Source: TeamRankings)
Problem 8.3.18b
Testing the Difference Between Two Means (b) find the critical value(s) and identify the rejection region(s), Assume the samples are random and dependent, and the populations are normally distributed.
[APPLET] Passing Play Percentages The passing play percentages of 10 randomly selected NCAA Division 1A college football teams for home and away games in the 2020–2021 season are shown in the table. At , α=0.20 is there enough evidence to support the claim that passing play percentage is different for home and away games? (Source: TeamRankings)
Problem 8.3.18c
Testing the Difference Between Two Means (c) calculate d̄ and Sd, Assume the samples are random and dependent, and the populations are normally distributed.
[APPLET] Passing Play Percentages The passing play percentages of 10 randomly selected NCAA Division 1A college football teams for home and away games in the 2020–2021 season are shown in the table. At , α=0.20 is there enough evidence to support the claim that passing play percentage is different for home and away games? (Source: TeamRankings)
Problem 8.3.18d
Testing the Difference Between Two Means (d) find the standardized test statistic t, Assume the samples are random and dependent, and the populations are normally distributed.
[APPLET] Passing Play Percentages The passing play percentages of 10 randomly selected NCAA Division 1A college football teams for home and away games in the 2020–2021 season are shown in the table. At , α=0.20 is there enough evidence to support the claim that passing play percentage is different for home and away games? (Source: TeamRankings)
Problem 8.3.18e
Testing the Difference Between Two Means (e) decide whether to reject or fail to reject the null hypothesis. Assume the samples are random and dependent, and the populations are normally distributed.
[APPLET] Passing Play Percentages The passing play percentages of 10 randomly selected NCAA Division 1A college football teams for home and away games in the 2020–2021 season are shown in the table. At , α=0.20 is there enough evidence to support the claim that passing play percentage is different for home and away games? (Source: TeamRankings)
Problem 8.3.18f
Testing the Difference Between Two Means (f ) interpret the decision in the context of the original claim. Assume the samples are random and dependent, and the populations are normally distributed.
[APPLET] Passing Play Percentages The passing play percentages of 10 randomly selected NCAA Division 1A college football teams for home and away games in the 2020–2021 season are shown in the table. At , α=0.20 is there enough evidence to support the claim that passing play percentage is different for home and away games? (Source: TeamRankings)
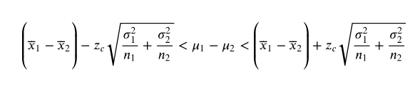
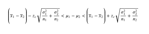
Problem 8.4.26
Constructing Confidence Intervals for p1-p2 You can construct a confidence interval for the difference between two population proportions p1-p2 by using the inequality below.
[Image] Complicated mathematical formula.
In Exercises 23–26, construct the indicated confidence interval for p1-p2. Assume the samples are random and independent.
Critical Threats Repeat Exercise 25 but with a 99% confidence interval. Describe the likelihood that equal proportions of the population see cyberterrorism and the spread of infectious diseases as critical threats in the next 10 years.
Problem 8.4.23
Constructing Confidence Intervals for p1-p2 You can construct a confidence interval for the difference between two population proportions p1-p2 by using the inequality below.
In Exercises 23–26, construct the indicated confidence interval for p1-p2. Assume the samples are random and independent.
Students Planning to Study Visual and Performing Arts In a survey of 10,000 students taking the SAT, 7% were planning to study visual and performing arts in college. In another survey of 8000 students taken 10 years before, 8% were planning to study visual and performing arts in college. Construct a 95% confidence interval for p1-p2, where p1 is the proportion from the recent survey and p2 is the proportion from the survey taken 10 years ago. (Adapted from College Board)
Problem 8.4.1
What conditions are necessary to use the z-test for testing the difference between two population proportions?
Problem 8.4.9
Young Adults In a survey of 3500 males ages 20 to 24 whose highest level of education is some college, but no bachelor’s degree, 80.2% were employed. In a survey of 2000 males ages 20 to 24 whose highest level of education is a bachelor’s degree or higher, 86.4% were employed. At α=0.01, can you support the claim that there is a difference in the proportion of those employed between the two groups? (Adapted from National Center for Education Statistics)
Problem 8.4.11
Seat Belt Use In a survey of 1000 drivers from the West, 934 wear a seat belt. In a survey of 1000 drivers from the Northeast, 909 wear a seat belt. At α=0.05, can you support the claim that the proportion of drivers who wear seat belts is greater in the West than in the Northeast? (Adapted from National Highway Traffic Safety Administration)
Problem 8.4.18
Parks and Mental Health In Exercises 13 –18, use the figure, which shows the percentages from a survey of two hundred 18- to 24-year-olds in the United States who say that various park and recreation activities have a positive impact on their mental health. (Adapted from National Recreation and Park Association)
Exercising and Taking Classes At α=0.01, can you reject the claim that the proportion of 18- to 24-year-olds who benefit mentally from exercising in parks is greater than or equal to the proportion who benefit mentally from taking classes in parks?
Problem 8.4.3
In Exercises 3 – 6, determine whether a normal sampling distribution can be used. If it can be used, test the claim about the difference between two population proportions and at the level of significance . Assume the samples are random and independent.
Claim: p1≠p2, α=0.01
Sample statistics: x1=35, n1=70, and x2=36, n2=60
Problem 8.4.7
Testing the Difference Between Two Proportions In Exercises 7–12, (a) identify the claim and state Ho and Ha, (b) find the critical value(s) and identify the rejection region(s), (c) find the standardized test statistic z, (d) decide whether to reject or fail to reject the null hypothesis, and (e) interpret the decision in the context of the original claim. Assume the samples are random and independent.
Multiple Sclerosis Drug In a study to determine the effectiveness of using a drug to treat multiple sclerosis, 488 subjects were given the drug and 244 subjects were given a placebo. The numbers of subjects who had 12-week confirmed disability progression were tracked. The results are shown at the left. At α=0.01, can you support the claim that there is a difference in the proportion of subjects who had no 12-week confirmed disability progression? (Adapted from The New England Journal of Medicine)
Problem 8.4.14
Parks and Mental Health In Exercises 13 –18, use the figure, which shows the percentages from a survey of two hundred 18- to 24-year-olds in the United States who say that various park and recreation activities have a positive impact on their mental health. (Adapted from National Recreation and Park Association)
Taking Classes and Enjoying Nature At α=0.05, can you support the claim that the proportion of 18- to 24-year-olds who benefit mentally from taking classes in parks is less than the proportion who benefit mentally from enjoying nature in parks?
Problem 8.4.16
Parks and Mental Health In Exercises 13 –18, use the figure, which shows the percentages from a survey of two hundred 18- to 24-year-olds in the United States who say that various park and recreation activities have a positive impact on their mental health. (Adapted from National Recreation and Park Association)
Socializing and Taking Classes At α=0.05, can you support the claim that the proportion of 18- to 24-year-olds who benefit mentally from socializing in parks is different from the proportion who benefit mentally from taking classes in parks?
Problem 8.4.20
Daily Activities In Exercises 19–22, the results of a survey of 200 U.S. randomly selected U.S. men and 300 randomly selected U.S. women are shown in the figure at the left, which displays the percentages engaged in working or socializing and communicating on an average day. (Adapted from U.S. Bureau of Labor Statistics)
Women’s Activities At α=0.01, can you reject the claim that the proportion of women who work is the same as the proportion of women who socialize and communicate on an average day?
Problem 8.6-8.2
Gas Mileage The table shows the gas mileages (in miles per gallon) of eight cars with and without using a fuel additive. At α=0.10, is there enough evidence to conclude that the additive improved gas mileage? Assume the populations are normally distributed.
Problem 8.6-8-11
A pediatrician claims that the mean birth weight of a single-birth baby is greater than the mean birth weight of a baby that has a twin. The mean birth weight of a random sample of 85 single-birth babies is 3086 grams. Assume the population standard deviation is 563 grams. The mean birth weight of a random sample of 68 babies that have a twin is 2263 grams. Assume the population standard deviation is 624 grams. At α=0.10, can you support the pediatrician’s claim? Interpret the decision in the context of the original claim.
Ch. 8 - Hypothesis Testing with Two Samples
