Problem 1
Which of the following structures have no electrical charge?
a. Protons
b. Electrons
c. Neutrons
d. Ions
Problem 2
The atomic mass of an atom most closely approximates the sum of the masses of all its __________.
a. protons
b. isotopes
c. electrons
d protons and neutrons
Problem 3
One isotope of iodine differs from another in __________ .
a. the number of protons
b. the number of electrons
c. the number of neutrons
d. atomic number
Problem 4
Which of the following is not an organic compound?
a. Monosaccharide
b. Formaldehyde
c. Water
d. Steroid
Problem 5
Which of the following terms most correctly describes the bonds in a molecule of water?
a. Nonpolar covalent bond
b. Polar covalent bond
c. Ionic bond
d. Hydrogen bond
Problem 6
In water, cations and anions of salts dissociate from one another and become surrounded by water molecules. In this state, the ions are also called __________ .
a. electrically negative
b. ionically bonded
c. electrolytes
d. hydrogen bonds
Problem 7
Which of the following can be most accurately described as a decomposition reaction?
a. C₆H₁₂O₆ + 6 O₂ → 6 H₂O + 6 CO₂
b. glucose + ATP → glucose phosphate + ADP
c. 6 H₂O + 6 CO₂ → C₆H₁₂O₆ + 6 O₂
d. A + BC → AB + C
Problem 8
Which of the following statements about a carbonated cola beverage with a pH of 2.9 is true?
a. It has a relatively high concentration of hydrogen ions.
b. It has a relatively low concentration of hydrogen ions.
c. It has equal amounts of hydroxyl and hydrogen ions.
d. Cola is a buffered solution.
Problem 9
Proteins are polymers of __________.
a. Amino acids
b. Fatty acids
c. Nucleic acids
d. Monosaccharides
Problem 10
Which of the following are hydrophobic organic molecules?
a. Proteins
b. Carbohydrates
c. Lipids
d. Nucleic acids
Problem 18
In DNA, adenine forms ___________ hydrogen bonds with ____________.
a. Three / uracil
b. Two / uracil
c. Two / thymine
d. Three / thymine
Problem 1
The outermost electron shell of an atom is known as the _____________ shell.
Problem 2
The type of chemical bond between atoms with nearly equal electronegativities is called a(n) _____________ bond.
Problem 3
The principal short-term energy storage molecule in cells is __________ .
Problem 4
Common long-term energy storage molecules are __________ , __________ , __________ , and __________.
Problem 5
Groups of atoms such as NH₂ or OH that appear in certain common arrangements are called __________ .
Problem 6
The reverse of dehydration synthesis is __________ .
Problem 7
Reactions that release energy are called __________ reactions.
Problem 9
The __________ scale is a measure of the concentration of hydrogen ions in a solution.
Problem 10
A nucleic acid containing the base uracil would also contain __________ sugar.
Problem 1
In the following molecule, label a portion that shows only primary structure; label two types of secondary structure; circle the tertiary structure.
Problem 2
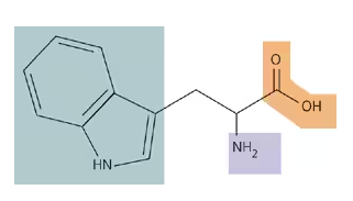
Shown is the amino acid tryptophan. Put the letter “C” at the site of every carbon atom. Label the amino group, the carboxyl group, and the side group.
Problem 1
List three main types of chemical bonds, and give an example of each.
Problem 2
Name five properties of water that are vital to life.
Problem 3
Describe the difference(s) among saturated fatty acids, unsaturated fatty acids, and polyunsaturated fatty acids.
Problem 4
What is the difference between atomic oxygen and molecular oxygen?
Problem 5
Explain how the polarity of water molecules makes water an excellent solvent.
Problem 8
All chemical reactions begin with reactants and result in new molecules called __________ .
Ch. 2 - The Chemistry of Microbiology
