Problem 39
Find the quadratic function f(x) = ax² + bx + c for which ƒ( − 2) = −4, ƒ(1) = 2, and f(2) = 0.
Problem 40
In Exercises 39–42, find A^(-1) Check that AA^-1 = I and A^(-1)A = I
Problem 41
Find the cubic function f(x) = ax³ + bx² + cx + d for which ƒ( − 1) = 0, ƒ(1) = 2, ƒ(2) = 3, and ƒ(3) = 12.
Problem 41
a. Write each linear system as a matrix equation in the form AX = B. b. Solve the system using the inverse that is given for the coefficient matrix.
Problem 41
In Exercises 37–44, use Cramer's Rule to solve each system.
Problem 41
Perform the indicated matrix operations given that A, B and C are defined as follows. If an operation is not defined, state the reason.
A - C
Problem 43
In Exercises 37–44, use Cramer's Rule to solve each system.
Problem 43
Solve the system: (Hint: Let A = ln w, B = ln x, C = ln y, and D = ln z. Solve the system for A, B, C, and D. Then use the logarithmic equations to find w, x, y, and z.)
Problem 43
In Exercises 37 - 44, perform the indicated matrix operations given that A, B and C are defined as follows. If an operation is not defined, state the reason.
A(BC)
Problem 44
In Exercises 43–44, (a) Write each linear system as a matrix equation in the form AX = B (b) Solve the system using the inverse that is given for the coefficient matrix.
Problem 45
In Exercises 45–48, explain why the system of equations cannot be solved using Cramer's Rule. Then use Gaussian elimination to solve the system.
Problem 46
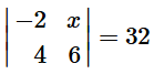
In Exercises 46–51, evaluate each determinant.
Problem 47
In Exercises 45–48, explain why the system of equations cannot be solved using Cramer's Rule. Then use Gaussian elimination to solve the system.
Problem 49
Evaluate each determinant in Exercises 49–52.
Problem 49
Evaluate each determinant.
Problem 51
Evaluate each determinant in Exercises 49–52.
Problem 51
Evaluate each determinant.
Problem 53
In Exercises 53–54, evaluate each determinant.
Problem 53
Use Cramer's Rule to solve each system.
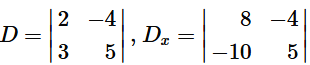
Problem 55
In Exercises 55–56, write the system of linear equations for which Cramer's Rule yields the given determinants.
Problem 57
In Exercises 57–60, solve each equation for x.
Problem 59
In Exercises 57–60, solve each equation for x.
Problem 68
Solve the system

Ch. 6 - Matrices and Determinants
