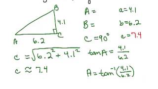
2. Trigonometric Functions on Right Triangles
Solving Right Triangles
2. Trigonometric Functions on Right Triangles
Solving Right Triangles
Additional 25 creators.
Learn with other creators
Showing 28 of 28 videos
Practice this topic
- Multiple Choice
A right triangle with an angle of has a hypotenuse of . Calculate the side of the triangle opposite to the angle (y), and the side adjacent to the angle (x). Round your answer to 3 decimal places.
- Multiple Choice
Given the right triangle below, calculate all missing angles in degrees (round your answer to 3 decimal places.
- Open QuestionIn Exercises 1–4, the graph of a tangent function is given. Select the equation for each graph from the following options:y = tan(x + π/2), y = tan(x + π), y = −tan(x − π/2).
- Open QuestionIn Exercises 1–4, the graph of a tangent function is given. Select the equation for each graph from the following options:y = tan(x + π/2), y = tan(x + π), y = −tan(x − π/2).
- Open QuestionIn Exercises 1–4, graph one period of each function.y = 2 tan x/2
- Open QuestionIn Exercises 5–12, graph two periods of the given tangent function.y = 3 tan x/4



