Table of contents
- 0. Review of College Algebra4h 43m
- 1. Measuring Angles40m
- 2. Trigonometric Functions on Right Triangles2h 5m
- 3. Unit Circle1h 19m
- 4. Graphing Trigonometric Functions1h 19m
- 5. Inverse Trigonometric Functions and Basic Trigonometric Equations1h 41m
- 6. Trigonometric Identities and More Equations2h 34m
- 7. Non-Right Triangles1h 38m
- 8. Vectors2h 25m
- 9. Polar Equations2h 5m
- 10. Parametric Equations1h 6m
- 11. Graphing Complex Numbers1h 7m
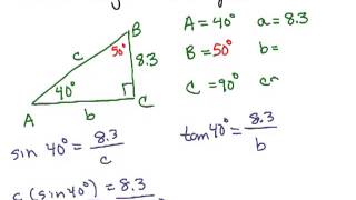
2. Trigonometric Functions on Right Triangles
Solving Right Triangles
Struggling with Trigonometry?
Join thousands of students who trust us to help them ace their exams!Watch the first videoSolve Right Triangles 2
YourMathGal
Video duration:
7mPlay a video:
Related Videos
Related Practice

