Skip to main content
Pearson+ LogoPearson+ Logo
0. Fundamental Concepts of Algebra
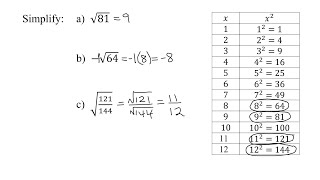
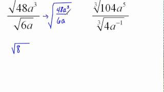
Radical Expressions
Guided videos.

Learn with Patrick

Go to the course
Additional 14 creators.

Learn with other creators

Practice this topic